現階段,國民經濟的快速發展帶動了人們的生活水平,但隨之而來的是各式各樣的環境問題,并且逐漸影響著人們的生活和發展,如水資源的短缺、礦產資源的流失等。其中水是人類賴以生存的資源。目前,水資源的危機已經成為全球發展中的主要問題。本文主要對工業污水處理與資源化回用工藝的應用進行分析。1污水回收技術方法污水處理方法就是利用物理、化學和生物的方法對工業污水進行處理,使污水凈化,減少污染,從而達到污水回收,充
2018-05-16 小沐管家 0
目前,國內外水生態環境質量改善主要有“控源、減污、生態修復、綜合治理”的手段,而在我國水環境治理的相關工程應用上,往往只注重到通過點源控制和底泥清淤的單一控源手段來進行水生態環境質量的改善,忽視了過程削減、生態修復和綜合治理等手段并行實施。本文通過對幾種水生態環境質量改善技術進行探析,旨在為人們在工程應用時提供相應的參考。1生態溝渠生態溝渠是指具有一定體積,由水、植物、土壤、微生物及動物組成,擁有
2018-05-16 小沐管家 0
國內外的實踐證明,一個城市的經濟社會發展到一定階段,就有必要也有條件全面開展生活垃圾分類工作。寧波市把生活垃圾分類這件“關鍵小事”,作為生態文明建設、社會治理創新、社會文明提升的重要內容和有效抓手,強化頂層設計,加強法規引領、設施保障、社會共治,積極穩妥、馳而不息推進。一 寧波市城市生活垃圾分類現狀2006年12月依法單獨收運處理餐廚垃圾,寧波市先行在餐飲企業和供餐單位開展生活垃圾分類工
2018-05-16 小沐管家 0
火電廠水處理技術已經相當成熟,除了生物污染控制之外,基本上不存在技術難點。但水汽理化及監督具有涉及面廣、系統性強、隱蔽性大、技術要求高、需協調分工等特點,一旦發生故障,可能涉及到化學水處理以及鍋爐、汽輪機、發電機、凝汽器等各系統的水汽取樣點、加藥點、排污點等各種環節和因素,需要對水汽系統流程圖、前后因果關系、相關性相當熟悉并積累豐富的處理經驗,才能有效應對。如何在火電廠生產實踐中遇到水質凈化和水汽
2018-05-16 小沐管家 0
本文以沈陽市渾北主城新開河綜合治理工程為例,探討雨污水混流地區產生黑臭水體的主要原因,提出黑臭水體治理的基本思路和解決方法,為其他類似地區黑臭水體綜合治理方案的制定提供參考依據。1研究背景隨著城市經濟的迅速發展,全國各城市水系均出現不同程度污染,水體黑臭,富營養化嚴重,降低了河道的生態、景觀、文化等功能品質。恢復河道水清、水美,建設親水環境,將大大提高居民的幸福感和市容市貌。2015年,國務院頒布
2018-05-16 小沐管家 0
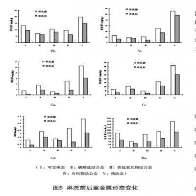
土壤作為重要的自然資源是整個生態環境的重要組成部分,也是人類生產活動的基礎[1]。隨著城鄉工業不斷發展壯大,土壤污染問題越來越嚴重,修復及防治土壤污染已成為當前亟待解決的重要問題。土壤淋洗是一種可以有效修復重金屬污染土壤的方法,具有易于操作、處理時不需直接接觸污染物、處理成本低且效率高、二次污染小等優點,目前已作為廉價和有效的修復手段在工程中被廣泛應用[2-5]。本研究采用土壤淋洗法對電鍍污染區重
2018-05-16 小沐管家 0
當前,工業窯爐對于空氣有著較為嚴重的污染,也是環境保護治理較難的主要因素。對于工業窯爐環境污染問題進行解決的主要方法就是對燃料進行改變或對煤的燃燒方式進行創新,并以此為基礎對環境污染問題進行解決。例如對天然氣、電以及輕柴油進行使用,但其成本也相對較高。其中經濟性最強的方法就是漿化與氣化,也就是對水煤漿與熱煤氣進行全面使用,這可對工業窯爐重污染問題進行科學合理的緩解。1環保水煤漿優化工業窯爐以我國某
2018-05-16 小沐管家 0